环境内毒素暴露与学龄儿童哮喘的关系
LPS预防花粉症的效果
注:
本文为中、日、英三种语言,下方附有中文翻译,供您查阅!
幼児期におけるLPSの自然摂取の低下がアレルギー体質の増加と相関があることが報告されています(*1)。
花粉症やアトピー性皮膚炎など、なんらかのアレルギー疾患に罹患している人は、人口の30%以上を占め、ここ20年で約3倍にも増加しています。現代のアレルギー疾患の急増は、昔に比べて環境がきれいになりすぎて、細菌成分の刺激が減少したことが原因のひとつと考えられています。欧州で行われた調査では、動物や土壌に触れる機会が多く、その結果LPSの自然摂取量の多い農村部に住む子供は、そうでない都市部に住む子供よりも花粉症や喘息などの頻度が低いという結果が出ています(*1)。この調査から、幼児期に微生物やLPSに触れて自然免疫を活性化することが、アレルギー疾患の発症を抑えるのに重要だということが分かります。
こういった報告とよく合致して、マウスにスギ花粉を与えて花粉症にする実験では、スギ花粉とともにLPSを与えていると、症状が出ないことが示されています。
(*1)Eenvironmental exposure to endotoxin and its relation to asthma in school-age children, The New England Journal of Medicine 347 (12): 869-877 (2002)
中文翻译:
据报道,在幼儿期,自然摄入LPS(泛菌糖脂质)的减少与过敏性体质的增加有关(*1)。
患有花粉症或特应性皮肤炎等某种过敏性疾病的人占人口的30%以上,并且在近20年内增加了约3倍。现代过敏性疾病的急剧增加被认为是因为与过去相比,环境过于清洁,细菌成分的刺激减少。在欧洲进行的调查显示,与动物和土壤接触机会多,自然摄入LPS量多的农村儿童,与居住在城市地区的儿童相比,花粉症或哮喘等疾病的发病率较低(*1)。这项研究表明,在幼儿期接触微生物和LPS并激活自然免疫对于抑制过敏性疾病的发生是非常重要的。
与这样的报告相一致,在给小鼠喂食杉树花粉使其成为花粉症的实验中,与杉树花粉一起给予LPS,可以防止症状的出现。
LPS预防花粉症的效果

参考文献:
(*1)Eenvironmental exposure to endotoxin and its relation to asthma in school-age children, The New England Journal of Medicine 347 (12): 869-877 (2002)
以下内容为文献详情内容
环境内毒素暴露与学龄儿童哮喘的关系
摘要
背景
在生命早期,先天免疫系统可以识别微生物的存活和非存活部分。免疫激活可以指导免疫反应,从而对动物皮屑或树木和草类花粉等过敏原产生耐受性。
方法
对居住在德国、奥地利或瑞士农村地区,年龄在6至13岁之间的儿童的父母填写了一份关于哮喘和花粉热的标准化问卷,这些地区既有农业家庭也有非农业家庭。从儿童身上获得血液样本并测试特应性过敏反应;同时从样本中收集外周血白细胞进行测试。根据临床表现和经LPS和葡萄球菌肠毒素B刺激的外周血白细胞产生细胞因子的情况(如肿瘤坏死因子α、干扰素γ、白细胞介素10和白细胞介素12)相关联,对这些儿童使用的被褥中的内毒素水平进行了检测,共有812名儿童的完整数据可供分析。
结果
儿童床垫灰尘样本中的内毒素水平与花粉热、特应性哮喘和特应性过敏的发生呈反比相关。非特应性喘息与内毒素水平无显著相关性。白细胞产生的细胞因子(肿瘤坏死因子α、干扰素-γ、白细胞介素-10和白细胞介素-12的产生)与被褥中的内毒素水平呈反比关系,表明暴露儿童的免疫反应明显下调。
结论
受试者暴露于内毒素的环境可能在对自然环境中发现的普遍存在的过敏原的耐受性的发展中起关键作用。
(新英格兰医学杂志 2002;347:869-77)版权所有© 2002 马萨诸塞州医学会。
哮喘是儿童中最常见的慢性疾病,占据了相当大的发病率和医疗成本。尽管各种环境因素被认为在哮喘和过敏的发展中起关键作用,但这些疾病的原因仍然不清楚。
一个有趣的假设是,随着公共卫生和卫生状况的改善,微生物环境刺激的类型和程度的变化可能增加了儿童期慢性过敏状况的易感性。微生物的暴露可以在没有感染的情况下发生。例如,微生物的活体和非活体部分在许多室内和室外环境中以不同的浓度存在。这些微生物物质在没有明显感染的情况下被先天免疫系统识别,并引发强烈的炎症反应。因此,对微生物产物的环境暴露可能在儿童免疫反应成熟过程中起关键作用,导致对其他自然环境成分(如花粉和动物皮屑)的耐受性发展。
我们调查了暴露于微生物产物与儿童哮喘和过敏发生之间的关系,环境中存在大量暴露机会,即一些家庭从事农业的农村环境。我们测量了儿童床垫灰尘样本中的内毒素——革兰氏阴性菌的细胞壁成分,然后将内毒素水平与哮喘和过敏的患病率以及特定IgE的血清水平相关联。我们还评估了通过LPS和葡萄球菌肠毒素B刺激激活先天免疫系统后外周血白细胞产生细胞因子的情况。
结果
有812名儿童的完整数据,其中319名来自农业家庭,493名来自非农业家庭。平均(±标准差)年龄为9.5±1.2岁。与农业状态相关的哮喘和花粉热症状的调整后的优势比在完整数据组和仅有自填问卷组之间没有显著差异(哮喘0.59对比0.48,花粉热症状0.44对比0.32)。
农业状态与环境暴露变量和健康结果之间的关系显示在表1中。
表1

根据农业状况,环境暴露和健康结果的普遍程度。
多变量逻辑回归分析的结果估计了床垫内毒素水平和内毒素负荷对症状和疾病发生率的影响,调整了已知的混杂因素,显示在表2中。数据以症状或疾病的调整比值比表示,从内毒素暴露的最低四分位数增加到最高四分位数。目前的内毒素暴露与花粉热、花粉热症状和特应性过敏反应呈强烈的负相关。控制混杂因素后,花粉热、花粉热症状和特应性致敏的流行率与内毒素暴露水平的关系的平滑图显示,随着内毒素负荷的增加,流行率大致单调下降(图1)。在内毒素水平作为暴露变量的分析中也获得了类似的结果(未显示数据)。
图1

花粉热患病率(图A)、花粉热症状(图B)和特应性过敏(图C)与对数转换内毒素负荷值的平滑图。
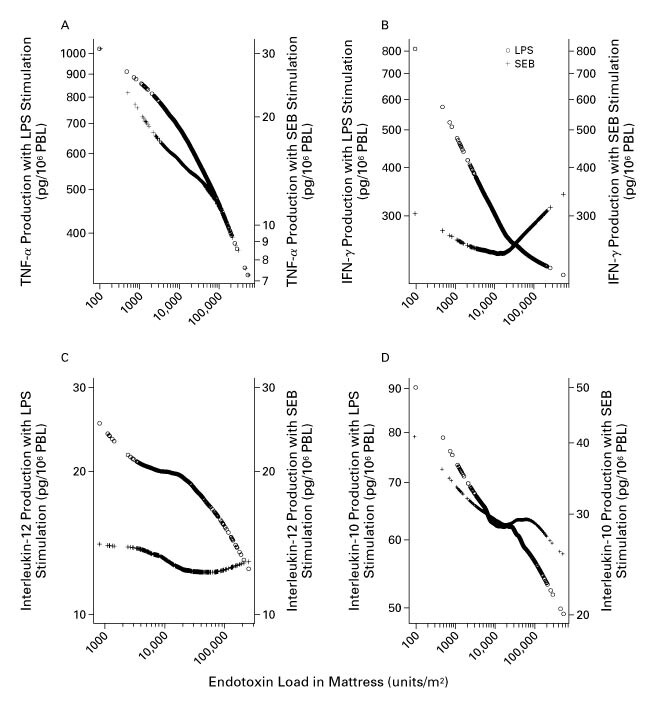
还发现内毒素暴露水平与外周血白细胞在用LPS刺激后产生炎症和调节细胞因子的能力之间存在反比相关(图2)。内毒素暴露(以每平方米内毒素单位计)与肿瘤坏死因子α、干扰素-γ、白细胞介素-10和白细胞介素-12产生之间的相关性,以内毒素暴露最高四分位数儿童的细胞因子产生平均水平与最低四分位数儿童的细胞因子产生平均水平的比值表示,分别为0.81(95%置信区间,0.74至0.89)、0.80(95%置信区间,0.70至0.92)、0.93(95%置信区间,0.83用葡萄球菌肠毒素B刺激后的相应结果分别为0.83(95%置信区间,0.74至0.93)、1.05(95%置信区间,0.95至1.17)、0.97(95%置信区间,0.84至1.11)和0.96(95%置信区间,0.86至1.06)。
表2

在全部样本和非农业家庭儿童组中,当前内毒素暴露(水平和负荷)与哮喘、喘息、花粉热和特应性过敏之间的关系。
图2

在用泛菌糖脂质(LPS)或葡萄球菌肠毒素B (SEB)刺激后,外周血白细胞(PBL)产生肿瘤坏死因子α (TNF-α)(图A)、干扰素-γ (IFN-γ)(图B)、白细胞介素-12(图C)和白细胞介素-10(图D)的对数转换能力与对数转换内毒素负荷值的关系的平滑图。
表3

特应性喘息(A图)和非特应性喘息(B图)的患病率与对数转换内毒素负荷值的平滑图。
图3

症状和疾病的患病率与当前内毒素负荷和出生后第一年接触农业有关。
内毒素暴露与过去一年中的喘息之间的关联显示出不同的暴露-反应模式。对于特应性喘息和哮喘,存在强烈的负相关性,而对于非特应性喘息和哮喘,随着当前内毒素暴露水平的增加,流行率呈现出非显著的增加趋势(表2和图3)。然而,内毒素暴露水平与特应性状态之间的交互作用项并未达到统计学意义。出生后第一年对农业的暴露与所有健康结果,包括非特应性喘息和哮喘,独立于当前内毒素暴露水平,显示出强烈的负相关性(表3)。对其他潜在混杂因素的额外调整,包括床垫灰尘中的过敏原水平(Der f1、Der p1和Fel d1)、农业状态、出生后第一年对宠物的暴露以及出生后第一年对农业的暴露,并未改变结果。为了评估结果是否可以推广到非农业人群,并调整与农业生活方式相关的潜在未控制混杂因素,我们将样本限制在非农业家庭的儿童,并调整了出生后第一年直接从农场接触马厩和牛奶的消费。同样,观察到内毒素暴露水平与特应性结果之间存在强烈的负相关性——尽管并非所有都具有统计学意义(可能是由于样本大小)。而对于非特应性喘息,发现了正相关性(表2)。
论述
这些发现表明,通过床垫灰尘中的内毒素水平测量,暴露于微生物产品的环境与儿童期花粉热、特应性过敏、特应性哮喘和特应性喘息的风险显著降低相关。在农业和非农业家庭的儿童中观察到了这种保护作用,这表明即使在非农业环境中发生较低水平的暴露也可能对儿童期特应性疾病的风险产生有利影响。
内毒素暴露可以防止特应性免疫反应和疾病发展的机制还不完全清楚。我们的研究结果表明,当儿童达到学龄时,高水平的环境内毒素暴露已经显著抑制了先天免疫系统激活后的细胞因子产生能力。LPS刺激主要通过激活抗原呈递呈细胞触发先天免疫反应,而葡萄球菌肠毒素B也激活T细胞,导致细胞因子产生的模式有所不同。先前用LPS刺激后对LPS刺激的反应性降低,在文献中被称为LPS耐受现象。我们的结果表明,这种下调发生在体内,是长期暴露于环境内毒素的结果。根据我们的数据,无法确定这种下调仅仅是暴露的一个生物学标志,还是与特应性比率降低有因果关系;这是一个需要进一步探索的领域。已有研究表明,先天免疫反应在适应性免疫中具有指导作用。最近报道了来自农业和非农业家庭的儿童LPS受体表达的差异,这表明先天免疫系统对农业环境中高微生物负荷有反应。
虽然只测量了当前的内毒素暴露,但其水平可能反映了长期暴露。因此,长期、高水平的环境暴露可能有利于耐受状态,这可以防止过敏免疫反应的发展。我们证明了在出生后的第一年暴露于马厩和农场生活的其他方面(可能反映了暴露于微生物产品)对学龄哮喘和特应性疾病的发生有很强的保护作用。然而,除了这种效果外,学龄儿童的内毒素暴露与特应性结果显著降低的风险相关。这种保护作用也见于没有农业暴露的儿童,其床垫内毒素水平与荷兰城市家庭和美国城市地区发现的水平相似,这表明对普遍微生物产物的暴露强烈影响特应性和儿童哮喘的发展。相比之下,美国市中心地区哮喘发病率的增加可能与其他类型的环境暴露有关。
学龄时内毒素暴露的保护作用仅在特应性喘息和哮喘中观察到,而在非特应性喘息中没有观察到。儿童哮喘是一种复杂的综合征,涉及多种疾病,包括在婴儿、幼儿、学龄和青少年时期出现的喘息。这已在几项长期前瞻性调查中得到证实,这些调查对儿童从出生到青春期和成年进行了随访。虽然在许多情况下,哮喘与对多种过敏原的特应性过敏有关,但在IgE反应缺乏增加的情况下也会发生涉及喘息的疾病。遗传背景、环境因素以及它们之间的相互作用的变化可能解释了喘息的不同临床表现。在人类暴露研究和动物研究中,内毒素已被证明在健康、非特应性个体中诱导气道高反应性,但在特应性动物中降低气道反应性,支持了这种效果被特应性修饰的观点,正如我们所观察到的那样。在我们的研究中,出生后第一年接触农业对非哮喘有保护作用,而在学龄时接触内毒素与风险增加有关。因此,不仅受试者的特应性状态,而且暴露时间也决定了其有益或有害的影响。
测量床垫灰尘中的内毒素,因为儿童在睡觉时会与他们的床的微生物环境密切接触,并且由于重复内毒素测量的重复性对于来自床的灰尘比来自地板的灰尘更大。据报道,病床灰尘中的内毒素测量值随时间变化很小,在六个月期间没有显著差异。因此,环境内毒素水平可能反映对微生物化合物的长期暴露。然而,我们研究的横断面设计限制了我们精确确定当前内毒素测量所代表的暴露持续时间的能力,显然需要前瞻性研究。我们没有评估其他细菌成分,如非甲基化胞嘧酸鸟苷酸二核苷酸(CpG基序)或来自非典型分枝杆菌或革兰氏阳性细菌的细胞壁成分,如LPS,已知它们以类似于内毒素的方式影响免疫反应。因此,床垫灰尘中与内毒素水平相关的保护作用很可能反映了对比革兰氏阴性细菌更广泛的微生物化合物谱的暴露效果。
我们的研究结果表明,通过床垫灰尘中内毒素水平测量的环境微生物产物暴露与对自然环境中普遍存在的过敏原的耐受性发展有关。这些微生物化合物被先天免疫系统识别以及通过适应性免疫调节由此产生的炎症反应的机制,可能对特应性疾病如花粉热和儿童哮喘和喘息的发展至关重要。这些见解可能促进旨在预防这些疾病的新策略的产生。
免责声明:
以上部分内容来源于外网我们重在信息分享,版权归属原作者或原刊发平台所有,如有侵权、信息有误或其他异议,请联系我们,我们将在24小时内删除或整改。
复合免疫 健康活力