LPS与健康详情大图

经科学验证的“健康多面手”:解读β-葡聚糖的非凡潜力!

β-葡聚糖的临床试验成果及其对人体健康的多种益处。

在追求健康的道路上,我们常常寻找一种既能融入日常饮食,又能科学有效地提升整体状态的天然成分。今天,我们要聚焦的正是这样一种被誉为免疫卫士的天然物质——β-葡聚糖。它不仅是普通的膳食纤维,更是经科学研究验证的健康多面手,在调节免疫、改善代谢、守护肠道等方面展现出非凡潜力。

 

随着现代营养学的发展,β-葡聚糖的功能被不断发掘:从基础的降胆固醇、稳血糖,到深层的免疫调节与抗癌辅助,其作用机制也日益清晰。更重要的是,它能通过调节人体健康总开关”——肠道微生物群,实现从内而外的全身性健康守护。

 

如今,β-葡聚糖作为安全有效的口服膳食补充剂,正成为越来越多人的健康选择。本文将带您深入了解它的科学实用价值,探索这一天然成分如何成为您日常健康管理的得力助手。

 

β-葡聚糖及其健康益处:综述

 

摘要


β-葡聚糖是存在于真菌和谷物细胞壁中的葡萄糖聚合物,是燕麦、大麦和蘑菇等多种膳食的主要成分。早期研究指出β-葡聚糖具有抗癌、抗糖尿病、抗炎及免疫调节作用。其在酸奶、面包和面食等食品加工行业的重要性已广为人知。最新研究发现肠道微生物群在调节健康方面发挥着重要作用,而多项研究证实β-葡聚糖能显著影响人体健康的关键调节者——肠道微生物群。本文综述了β-葡聚糖的临床试验成果及其对人体健康的多种益处

 

关键词:β-葡聚糖;细菌;真菌;酵母

 

引言


β-葡聚糖是一类天然膳食纤维,广泛存在于细菌、真菌、酵母等微生物的细胞壁以及燕麦、大麦、黑麦和小米等谷物的胚乳层与糊粉层中。作为一种强亲水性非淀粉多糖,β-葡聚糖根据其生理特性通常可分为可溶性与不可溶性两类:不可溶性β-葡聚糖由β-(1,3/1,4)-D-葡萄糖单元构成,而可溶性黏稠β-葡聚糖则β-(1,3/1,6)-D-葡萄糖键结构组成[1]。该物质还有β-聚糖、β-1,3-葡聚糖、β-1,3/1,6-聚糖等多种称谓。作为草本药用成分,β-葡聚糖具有多种益生元特性与健康益处,如降低血糖指数和血清胆固醇、调控糖尿病心血管疾病、抑制癌症与高血压、增强免疫功能、发挥抗菌(抗细菌、抗病毒)活性以及促进伤口愈合等[2]

 

益生菌具有长期安全食用历史,能够调节肠道菌群平衡。带来多种健康益处包括:预防坏死性小肠结肠炎、缓解婴儿肠绞痛引起的哭闹,以及改善肠易激综合征(IBS)患者生活质量²。研究表明,β-葡聚糖可作为某些益生菌的碳源,在肠道环境中影响其生长速率及乳酸产量[3]。美国食品药品监督管理局(FDA)已将β-葡聚糖列为可影响免疫反应的天然化合物,并建议每日从燕麦、大麦等谷物来源摄入3g β-葡聚糖,同时配合低胆固醇饮食,有助于降低心血管疾病风险[4]

 

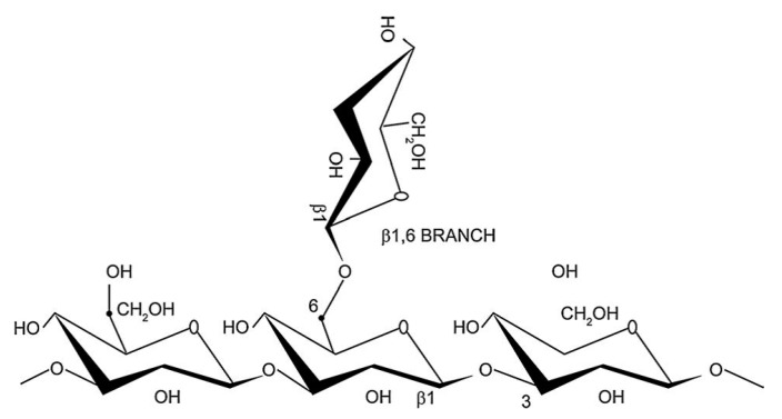
β-葡聚糖的结构

 

β-葡聚糖是由β-D-葡萄糖单体单元通过不同位置的多种糖苷键连接而成的链状结构。最常见的形式是由β-1,3键连接的D-葡萄糖单元构成。其结构可分为支链型或直链型两种。源自谷物的β-葡聚糖是β(1→3)β(1→4)糖苷键的混合物,不含β(1→6)键;酵母源β-葡聚糖(如酿酒酵母)以直链β(1→3)为主链,包含约30个葡萄糖残基的直链,并通过β(1→6)键连接长支链;真菌源β-葡聚糖则由β(1→3)葡聚糖直链通过β(1→6)键连接短支链构成;而细菌源β-葡聚糖(如Agribacterium biobaris)则为直链且无分支的β(1→3)-D-葡聚糖主链[4]

 

1: β-葡聚糖的结构

图1.jpg 

 

β -葡聚糖是如何发挥作用的?

 

作为一种黏性纤维,β-葡聚糖本身不会被消化吸收,而是在消化道内形成凝胶状物质。这种特性能够延缓碳水化合物的吸收过程,从而减缓葡萄糖进入血液的速度。当这种粘稠凝胶在消化系统中缓慢移动时,会吸附胆固醇并阻止其被吸收,最终将其排出体外[6]。口服β-葡聚糖时,其可通过抑制胃肠道对食物中胆固醇的吸收来降低血液胆固醇水平;而注射给药时,β-葡聚糖则可能通过增加抗感染的免疫活性物质来刺激免疫系统发挥作用[7]

 

β-葡聚糖的食物来源

 

β-葡聚糖是一种可溶性膳食纤维,天然存在于谷物、酵母和某些蘑菇中,也可作为膳食补充剂食用。在谷物中,大麦(2-20g,其中65%为水溶性部分)和燕麦(3-8 g82%为水溶性部分)的β-葡聚糖含量最高。其他谷物如高粱(1.1-6.2g)、黑麦(1.3-2.7g)、玉米(0.8-1.7g)、黑小麦(0.3-1.2g)、小麦(0.5-1.0g)、硬粒小麦(0.5-0.6g)和大米(0.13g)也含有β -葡聚糖,但含量远低于上述谷物[4]。此外,酿酒酵母、如灵芝、舞茸和香菇等多种蘑菇,以及海带属(Laminaria sp.)等海藻也是β-葡聚糖重要来源[8]。加拿大是燕麦和大麦的主要生产国,在2010/2011年度分别生产了229.76万吨燕麦和760.53万吨大麦。2007年,加拿大在全球大麦产量中排名第五,燕麦产量位列全球第二[7]

 

 

β-葡聚糖的健康益处

 

β -葡聚糖为膳食来源的饮食方案,可通过预防糖尿病、高胆固醇血症、肥胖症、心血管疾病及癌症等慢性非传染性疾病,为人体健康带来潜在益处[9]。这种高黏性的β -葡聚糖纤维已被证实具有多重健康功效,包括降低血液胆固醇和血脂水平,以及维持体重。β -葡聚糖作为强效免疫调节剂,能同时作用于先天免疫和适应性免疫系统,因此在对抗细菌、病毒、真菌及寄生虫等感染性疾病方面发挥有益作用。在美国、加拿大、芬兰、瑞典、中国、日本和韩国等多个国家,β -葡聚糖已被批准作为强效免疫激活剂,并被证实是效果最佳的可溶性膳食纤维,具有显著的抗癌、改善胰岛素抵抗、降血压及抑制肥胖等多重功效[1]

 

以下是关于β-葡聚糖潜在健康益处的深入研究发现:

 

 胆固醇:总胆固醇和低密度脂蛋白(LDL)胆固醇水平升高被视为是心血管疾病的主要风险因素。富含β-葡聚糖的食物(如燕麦)能显著降低低密度脂蛋白(即胆固醇)水平,减少心脏病风险。美国食品药品监督管理局(FDA)于1997年批准的健康声明:燕麦β-葡聚糖这一可溶性膳食纤维,确实有助于降低血浆胆固醇水平和心脏病风险。同样,英国联合健康声明倡议(JHCI)于2004年批准了关于燕麦β-葡聚糖降胆固醇的健康声明。FDAJHCI的原始结论表明,每日摄入至少3g燕麦β-葡聚糖,可使正常胆固醇水平或高胆固醇水平受试者的血浆总胆固醇和LDL胆固醇水平降低5-10%本文所述研究显示,食用燕麦平均可分别使总胆固醇下降5%LDL胆固醇水平下降7%现有科学共识持续支持燕麦β-葡聚糖与血液胆固醇水平之间的关联,最新数据与FDAJHCI早期结论保持一致[10]

 

剂量:每日至少摄入3g β-葡聚糖,研究发现,该剂量可有效降低总胆固醇与低密度脂蛋白胆固醇水平,且不会影响高密度脂蛋白胆固醇这对心脏健康同样有益[11]

 

糖尿病:糖尿病(Diabetes mellitus)是一种慢性疾病,由血糖水平过高(高血糖)引发。根据世界卫生组织(WHO)统计,2000年全球约有1.71亿人罹患糖尿病,预计到2030年这一数字将翻倍。糖尿病的管理包括:控制血糖和血脂水平,以及降低高血压。β -葡聚糖在糖尿病及其相关心血管疾病的治疗中具有潜在益处。含β -葡聚糖的食品已在糖尿病临床试验中得到应用。摄入天然膳食纤维β -葡聚糖已被证实可降低所有相关风险因素,这对糖尿病及其并发症的治疗大有裨益。研究还表明, β -葡聚糖可通过控制血糖水平、降低胆固醇、维持血压稳定来辅助糖尿病管理。补充β-葡聚糖有助于降低血糖并改善胰岛素敏感性[12]

 

 癌症:研究表明,β-葡聚糖可激活免疫细胞产生名为细胞因子的抗癌化合物,这些物质能调节炎症反应,帮助免疫系统对抗癌症等疾病。2013年发表于医药化学中的抗癌剂Anti-Cancer Agents in Medicinal Chemistry期刊的综述,目前关于β -葡聚糖的癌症研究大多在试管和小鼠模型中进行,人体试验相对较少。已有临床试验表明,其对患者生存期和生活质量均有积极影响。依据2012年《外科》期刊研究显示,日本已批准将源自蘑菇提取的β -葡聚糖与化疗联合使用,用于治疗胃癌和结直肠癌,并能延长小细胞肺癌患者的缓解期。2009年发表于《血液学与肿瘤学杂志》的综述表明,β -葡聚糖可能对晚期癌症患者具有增强免疫系统的作用[13]

 

潜在副作用

 

尽管β-葡聚糖通常被认为是安全的,但其摄入仍存在一些注意事项。由于它能降低血糖,虽然对某些人群有益,但对低血糖患者可能存在风险。日常饮食中膳食纤维摄入量较低者,建议从较低剂量开始补充。若摄入量超出常规剂量,可能导致胃部不适、腹胀或胀气等问题[14]。通过日常饮食摄入推荐量的β-葡聚糖通常不会引发副作用,但若以补充剂形式摄入,则可能存在潜在不良反应与风险。

 

口服β-葡聚糖补充剂可能出现的副作用包括:
腹泻
恶心
呕吐

 

通过静脉注射β-葡聚糖可能引发的副作用包括:
背痛与关节疼痛
发热寒战
尿频
腹泻
血压波动
皮疹
淋巴结肿大

 

因此,在服用β-葡聚糖前,务必先咨询您的医生,以确保该产品对您适用[13]

 

β-葡聚糖的临床试验

 

随着葡聚糖疗法在临床前动物模型中取得显著成功,研究人员已开展大量工作以验证其对人类患者的治疗效果。研究表明,以燕麦或大麦粉提取物为原料的膳食补充剂,其β -葡聚糖成分在人体中未出现不良反应报告。1983年起,日本已批准香菇提取物(香菇多糖)和云芝提取物(多糖-K)作为成功药物上市。根据美国临床试验数据库(ClinicalTrials.gov)汇总数据显示,当前共有177β-葡聚糖临床研究,主要集中于癌症、胃肠道疾病治疗、降低胆固醇及改善免疫反应等领域。该数据库主要收录在美国进行或至少涉及美国企业的研究。另一项临床试验研究表明,Maitake(一种源自蘑菇的葡聚糖)来源的葡聚糖可能促使骨髓增生异常综合征进展为急性髓系白血病[15]。在临床试验中,β-葡聚糖的给药方式包括胶囊口服、膳食补充以及作为疫苗佐剂成分使用。研究证实,口服给药与注射给药同样有效。在干预性研究中,多数研究旨在通过口服(谷物来源的)β-葡聚糖治疗代谢性疾病[5]

 

β-葡聚糖作为膳食补充剂

 

β-葡聚糖属于具有生物活性的天然分子类,既可作为膳食补充剂口服,也可纳入日常饮食,其安全性已获广泛认可[1]在各类膳食纤维中,β-葡聚糖因其具有充分文献佐证的免疫调节活性而备受关注,该活性涵盖抗感染免疫、抗癌免疫以及细胞与体液防御反应的各个方面,并能有效降低胆固醇水平。因此,β-葡聚糖可被视为膳食补充剂中最优质的天然可溶性纤维类型之一[16]

 

结论

 

β-葡聚糖作为众多科学家热衷的新兴研究领域,因为它显示出对从心脏到消化系统等人体多方面的改善潜力[17]β -葡聚糖被认定为营养保健品的物质,不仅具有明确的健康效益和工业应用价值,更在免疫调节剂中占据重要地位。研究证实,β-葡聚糖作为多种健康益处的来源[12],能有效降低胆固醇、预防辅助治疗糖尿病和癌症,同时可用于增强因慢性疲劳综合征、放射治疗或化疗等导致免疫系统受损人群的机体防御能力[4]

 

免责声明:

以上部分内容来源于外网我们重在信息分享,版权归属原作者或原刊发平台所有,如有侵权、信息有误或其他异议,请联系处理,我们将在24小时内删除或整改。


微信 微信扫一扫
产品中心
资讯中心