LPS与健康详情大图

从“肠到脑”的逆袭:5例临床验证,口服LPS实现“发育障碍"里程碑式突破!

通过口服LPS泛菌糖脂质改善发育障碍患者的有效病例

在神经发育障碍的漫长诊疗史中,药物与行为干预往往占据主流,却鲜有人将目光投向人体最古老、也最被低估的免疫训练场——肠道。当发育障碍的迷雾笼罩神经发育进程,小胶质细胞功能障碍已被证实为关键病理枢纽。本研究基于在常规疗法(排毒/营养/振动疗法)基础上,5ASD/ADHD患儿通过长期口服LPS实现行为、言语及社交能力的突破性改善,通过重塑肠道免疫微环境,为发育障碍患者打开一条安全、可行且可持续的康复新路径,为免疫调节疗法开启全新可能。

通过口服LPS泛菌糖脂质改善发育障碍患者的有效病例


摘要

 

背景:发育障碍与小胶质细胞功能障碍有关。口服LPS泛菌糖脂质可使小鼠小胶质细胞的吞噬活性恢复正常并抑制炎症。在本文中,我们报告了一项成功的试验,在该试验中,我们实现了发育障碍患者症状的显著改善。


患者和方法:5名被诊断为自闭症谱系障碍(ASD)/注意缺陷多动障碍(ADHD)的儿科患者在我们的门诊就诊他们在接受常规治疗方案(排毒疗法、营养疗法和振动疗法)的基础上,每日口服0.75 mg1 mg LPS持续 6 个月或更长时间。通过患者父母填写的调查问卷进行评估,并使用数字评定量表 (Numerical Rating Scale) 进行评估。


结果: 所有患者与 ASD/ADHD 相关的行为、言语能力和沟通障碍均得到改善。


结论口服LPS可能成为当前缺乏有效治疗发育障碍领域的一种新治疗选择


发育障碍源于身体、学习、语言或行为领域出现的一系列缺陷(1)。典型发育障碍包括自闭症谱系障碍(ASD)、注意力缺陷多动障碍(ADHD)。学习障碍和其他类似的大脑功能性疾病(1)。这些症状通常在幼年时期显现尽管约10%的病例具有遗传背景,但大多数患者的潜在病因仍不明确(2)。这些障碍在发育过程中开始,可能对日常生活产生不良影响。发育障碍很少自愈,通常会伴随终生(1)


自闭症谱系障碍(ASD)是一种神经发育障碍,其特征表现为社交沟通困难及刻板重复行为。另一种神经发育障碍——注意缺陷多动障碍(ADHD)则表现为与年龄不符的过度活跃、冲动行为,以及注意力不集中、多动和冲动(1)。最新报告显示1.5%的人口患有ASD7.2%的人患有ADHD(3-4)研究还表明,男孩患ASD发病率是女孩的3-4(5)


闭症谱系障碍(ASD)的治疗主要遵循英国自闭症协会提出的"SPELL(结构化管理、正向支持、共情理解、低唤醒环境、社会链接)"理念,但由于该病症的因和性质尚未明确,目前尚未开发出适用的药物疗法(6)。注意缺陷多动障碍(ADHD)的治疗则主要包括护理干预和药物治疗重点通过调整环境、社会生活技能训练以及家长培训来改善症状。药物治疗主要采用中枢兴奋剂(哌甲酯)和去甲肾上腺素再摄取抑制剂。研究发现,高达41-78%ASD患者同时ADHD,当两种障碍并存时,自闭症的核心症状(社交障碍、日常生活功能受损)会变得严重1)。这种共病障碍的治疗难度也远高于单纯ADHD。此外,若青少年期发育障碍未得到改善,还可能继发出现行为障碍、抑郁症、焦虑症等多种共病(1)。因此,对发育障碍进行早期诊断和干预至关重要,这能有效预防继发性精神健康问题的发生。


近年来的研究表明,在自闭症谱系障碍(ASD)等发育障碍的动物模型中,炎症细胞因子、氧化应激标志物和小胶质细胞均出现异常,其中小胶质细胞的参与机制尤其受到关注(7–9)。小胶质细胞作为脑组织巨噬细胞,会在脑部病理变化或损伤时被激活。另有研究表明,发育期小胶质细胞功能障碍可能是导致发育障碍的成因之一。Rett综合征是由于X染色体上的甲基-CpG结合蛋白2MEPC2)基因发生突变所引发的,该综合征主要表现为神经系统发育异常,如自闭症(10)。在该疾病模型的小鼠脑部中,小胶质细胞的吞噬活性降低,而移植具有吞噬功能的小胶质细胞可改善其症状。这些发现表明小胶质细胞功能障碍可能会影响发育障碍患者大脑的高级功能活动稳定性。因此,针对小胶质细胞功能障碍采取干预措施,或许能有效缓解发育障碍症状(10)。其中一种干预措施是口服LPS,已被证实其可改善脑巨噬细胞的功能。


LPS是由脂质和多糖组成的物质,是革兰氏阴性菌细胞壁外膜的组成部分。LPS的生理效应通过宿主细胞表面的Toll样受体4TLR4)发挥作用(11)。研究表明,植物共生革兰氏阴性菌——成团泛菌(Pantoea agglomerans)被证实是一种有益微生物,可为植物提供氮磷营养并与之共生(12,13)。迄今为止,临床已开展多项源自成团泛菌源LPS泛菌糖脂质的研究(14,15)。稻川团队报道称,他们从小麦共生菌中分离出LPS,通过口服给予可显著增强巨噬细胞体内清除异物的能力(16)。该研究团队还进一步证实,经皮或口服给予LPS改善多种慢性疾病的病理状态(14,15,17-21)。其中在阿尔茨海默病(由脑内β淀粉样蛋白沉积引发)小鼠模型中,LPS给予可抑制β淀粉样蛋白沉积,并显著延缓认知功能衰退(17)。我院临床研究显示,采用LPS治疗16例恶性肿瘤患者,10例症状得到改善,其中3例达到完全缓解(11)。


因此,我们假设口服LPS可使小胶质细胞的作用恢复正常,并改善发育障碍。本文报告,除了常规的排毒疗法、营养疗法和振动疗法外,我们还通过口服LPS成功地治疗了5例发育障碍患者。


结果

 

I.5例研究患者背景。

表1.png 

ASD:自闭症谱系障碍;ADHD:注意力缺陷多动障碍。


口服LPS后的行为、语言能力与沟通改善情况:


病例1为一名自闭症谱系障碍ASD患儿,在常规治疗基础上加用LPS,剂量为每日0.75 mg,持续12个月(见表1)。治疗结果显示,其行为问题评分由7改善到0分,语言能力评分由10改善到0分,沟通障碍评分亦由10改善到0该患儿已从特教班回归普通班级就读(图2)。


病例2一名注意缺陷多动障碍(ADHD)儿科患者,在常规治疗基础上每日加服1mg LPS持续7个月(见表1)。治疗结果显示:行为问题评分从8改善到2分,沟通障碍评分从6改善到1分(图2)。


病例3为一名自闭症谱系障碍ASD患儿,在常规治疗基础上加用LPS,每日口服0.75 mg,持续7个月(表1)。治疗结果显示:行为评分由8.5改善至4.5分,语言能力评分由7改善至4分,沟通障碍评分由8改善至4分。该患儿亦从特教班回归普通班级就读(图2)。


图2.png 

2.数值评分量表(NRS)在治疗前后的行为(A)、语言能力(B)和沟通能力(C)评分。


病例4是一名患有自闭症谱系障碍(ASD注意力缺陷多动障碍(ADHD)的儿科患者,在接受常规治疗的同时,每日服用1 mg LPS持续6个月(表1)。治疗结果显示:行为问题评分从10改善至2分,语言能力评分从10改善至7分,沟通障碍评分从10分改善至5分(图2)。


病例5是一名患有自闭症谱系障碍(ASD)的儿科患者,在接受常规治疗的同时,每日服用0.75mg IPS持续6个月(表1)。治疗结果显示:行为问题评分从7分改善至1分,语言能力评分从8分改善至1分,沟通障碍评分从9分显著改善至1分(图2)。


如图2所示,这五名儿科患者的平均NRS平均数字评分表结果显示行为、语言和沟通能力在治疗后均获得显著改善。


生物共振结检测结果证实,治疗后脑炎症、肠道炎症、自闭症谱系障碍(ASD注意力缺陷多动障碍(ADHD)相关指标均显著改善(图3)。



图3.png 

3. 治疗前后生物共振指标:脑部炎症(A)、肠道炎症(B)、自闭症谱系障碍(ASD)(C)及注意缺陷多动障碍(ADHD)(D)。数据以平均值±标准差表示,每组来源于2–5名患者。显著差异:*p < 0.05***p < 0.001


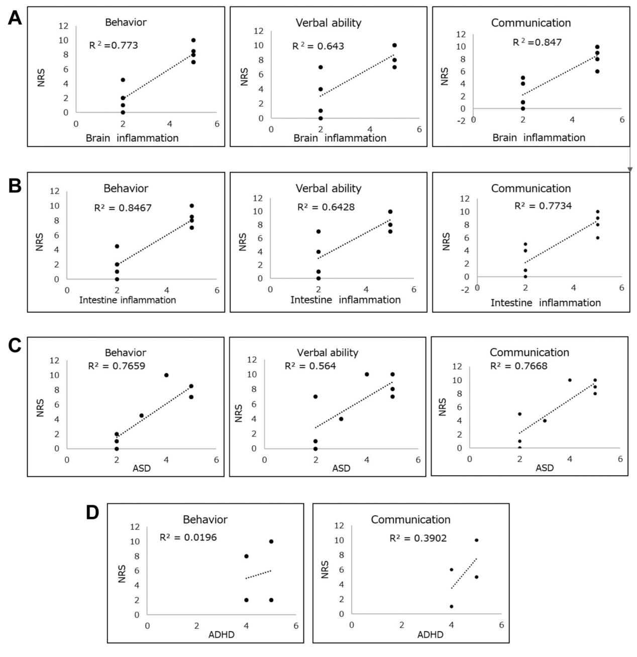
生物共振与NRS评分的相关性


五名患者在治疗前后通过生物共振检测评估了脑部炎症、肠道炎症及自闭症谱系障碍ASD/注意力缺陷多动障碍症状ADHD(图3)。研究人员分析了这些指标与NRS行为量表、语言能力及沟通能力评分的相关性。结果显示:脑部炎症通过生物共振检测与行为、语言和沟通能力的NRS评分相关系数分别为0.8790.8010.920(图4A)。肠道炎症通过生物共振检测与行为、语言及沟通能力的NRS评分相关系数分别为0.9200.8020.879(图4B)。自闭症谱系障碍通过生物共振检测与行为、语言及沟通能力的NRS评分相关系数分别为0.7660.564 0.767(图4C)。注意力缺陷多动障碍通过生物共振检测与行为、沟通能力的NRS评分相关系数分别为0.140.625(图4D)。脑部炎症和肠道炎症与自闭症谱系障碍呈显著正相关,但与注意力缺陷多动障碍无显著相关性。


图4.png 

图4. 生物共振指数与数值评分量表(NRS)评分的相关性
A:脑部炎症;B:肠道炎症;C:自闭症谱系障碍(ASD);D:注意缺陷多动障碍(ADHD)(n = 2–5)。


讨论


发育障碍多发于儿童早期,严重影响社交能力、语言沟通和认知发展。近年来这类障碍的发病率持续攀升(23)。目前针对发育障碍尚无有效疗法,医学界对其本质特征和病因机制的认知十分有限这些儿童发育问题已成为严重的社会问题。若能在儿童早期及时干预改善发育障碍,有望预防青春期常见的继发性障碍。


五名患有自闭症谱系障碍(ASD)并伴有或不伴有注意力缺陷多动障碍(ADHD)的儿童,在我院常规治疗基础上,额外加用LPS治疗612个月(图2)。NRS评估结果显示,接受LPS治疗后,五名所有患者的社交行为、语言能力和沟通能力评分均有所改善。他们的生物共振检测结果改善程度与神经共振评分(NRS)结果呈现显著相关性,且患者整体状况得到改善(图4)。值得关注的是其中两名学龄期的患者能够成功返回正常班级,这表明口服LPS治疗是有的(病例1和病例3)。


口服LPS改善发育障碍的作用机制尚未明确,但已有研究报道口服LPS可激活可激活小胶质细胞。Kobayashi团队通过体外实验证实,微量LPS可刺激小胶质细胞,显著增强其对β1-42的吞噬能力24。该团队还在阿尔茨海默病模型小鼠发病前给予LPS干预,成功激活小胶质细胞18。这些发现表明LPS可能通过激活小胶质细胞预防脑部疾病。值得注意的是,Dercki等人提出发育障碍可能源于小胶质细胞功能异常。他们将具吞噬活性的小胶质细胞移植至雷特综合征(一种自闭症类型)小鼠模型后,观察到发育障碍症状显著改善10。这明增强小胶质细胞吞噬能力可能有助于缓解自闭症症状。本研究结果表明:ASD/ADHD患儿口服LPS后,小胶质细胞吞噬功能恢复正常,进而改善发育障碍症状。该机制可解释临床观察到的治疗效果。


患有自闭症谱系障碍(ASD)的儿童除大脑功能障碍外,还常伴有胃肠道症状。肠道菌群通过神经、内分泌和免疫途径与中枢神经系统相互作用25, 26,参与免疫调节、药物代谢、解毒、营养和代谢,进而影响大脑的功能与行为表现27-29。研究表明,肠道菌群对宿主大脑的发育具有重要作用:无菌小鼠与无特定病原体小鼠相比,表现出肠道菌群增加及焦虑水平降低(30);无菌小鼠还出现明显的社交障碍,例如社交偏好下降及对新鲜事物偏好减弱(31)。这表明,肠道菌群异常相关的胃肠道紊乱可能与ASD相关(32)。Finegold 等报道,ASD儿童的肠道菌群健康同胞及非直系亲属存在显著差异(33。已有研究指出,口服LPS可改善肠道菌群稳态由于肠道菌群紊乱与动脉硬化和高血压密切相关,而摄入LPS已被证实能有效调节肠道菌群恢复正常,并预防此类疾病(19, 20。因此,口服LPS可能通过改善这些患儿肠道菌群的紊乱,从而发挥有益作用。


研究的结果为发育障碍患儿的治疗带来了一线希望:在目前缺乏有效疗法的领域,口服LPS干预有望成为开辟全新的治疗途径。


免责声明


以上部分内容来源于外网我们重在信息分享,版权归属原作者或原刊发平台所有,如有侵权、信息有误或其他异议,请联系处理,我们将在24小时内删除或整改。


微信 微信扫一扫
产品中心
资讯中心